朗道费米液体理论曾成功描述了普通金属的低温性质,是现代凝聚态物理的基石。然而,在强关联电子体系中,电子间的相互作用不能再以微扰来近似处理,其低能激发往往无法简单地由准粒子图像描述,一系列超越朗道费米液体理论的量子现象正不断涌现,亟待发展新的研究范式。非常规超导是其中的一个典型例子,其超导配对机制无法由传统的BCS理论来解释。尽管学术界普遍认为这是一类由磁涨落驱动的超导,但至今尚未建立被普遍接受的微观理论。此外,奇异金属态同样广泛存在于这类强关联电子体系中,表现出线性电阻和对数发散的比热系数,并且往往毗邻超导相。因此,理解奇异金属行为可能是破解非常规超导机理的关键。另一方面,非常规超导与奇异金属行为通常出现在量子临界点附近,表明这三者紧密相关。
重费米子体系因其较低的特征能量尺度,易受压力、掺杂或者磁场等非热力学参量调控,从而成为研究这类强关联物理问题的理想体系。在先前的研究中,人们发现反铁磁量子临界广泛存在于重费米子等强关联电子体系中,但纯净材料体系中的铁磁量子相变一直缺乏确凿证据。2020年,浙江大学关联物质研究中心袁辉球团队首次在铁磁材料CeRh6Ge4中观察到压力诱导的铁磁量子临界点以及与之相伴的奇异金属相【Nature 579, 51 (2020)】,颠覆了先前铁磁量子临界不存在的普遍共识。为了揭示其铁磁量子临界的起源,该研究团队随后开展了系列研究,发现CeRh6Ge4表现出许多独特的电子性质,如局域铁磁序、各向异性的近藤杂化、奇特的无序效应等,为理解铁磁量子临界的起源奠定了重要基础【Science Bulletin 66, 1389 (2021); PRL 126, 216406 (2021);PRB 103, L180409 (2021);PRB 106, 054409 (2022)】。

图1. CeRh6Ge4的温度-压力相图
为进一步揭示CeRh6Ge4在铁磁量子临界点的标度行为,阐明其奇异金属的起源,我们亟需突破高压物性测量的限制,而化学压力的调控有助于解决这些问题。最近,袁辉球课题组成功合成了Ce(Rh1-xCox)6Ge4单晶,发现其铁磁转变温度随Co掺杂浓度的增加而逐渐被抑制,并在临界组分xc≈0.05表现出与压致铁磁量子临界点相似的标度行为,如电阻表现出线性温度依赖关系、比热系数随温度降低而对数发散。这些结果表明,Rh/Co元素替代引入的化学压力和物理压力具有同等的效果,为进一步研究铁磁量子临界性质提供了新的途径。

图2. Ce(Rh1-xCox)6Ge4的温度-掺杂相图
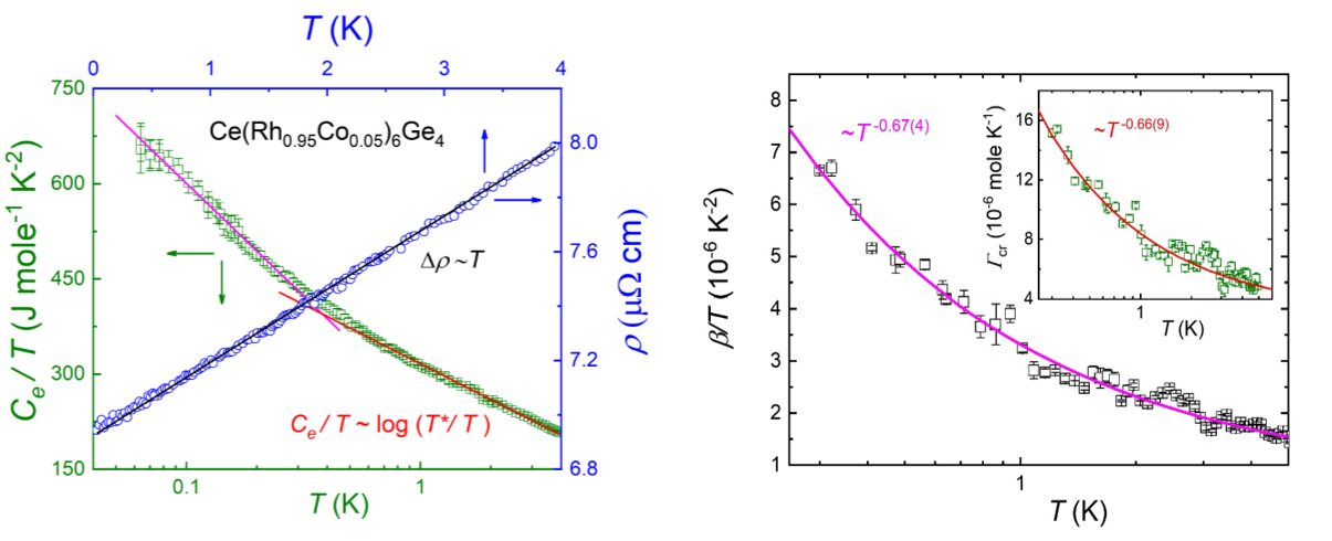
格林艾森常数的标度行为是确认量子临界性的存在,揭示其动力学特征的一个关键参数,Ce(Rh1-xCox)6Ge4单晶的成功合成使得这一实验测量成为可能。结合极低温热膨胀系数(分辨率可达0.2Å)和电子比热系数的测量,袁辉球团队发现Ce(Rh1-xCox)6Ge4在铁磁量子临界点附近(xc≈0.05)的格林艾森常数表现出的温度依赖关系,对应于动力学指数的临界量子涨落。根据Hertz-Millis量子相变理论,该动力学指数对应的电阻标度行为应该遵循 Dr~T 5/3,这与实验上观察到的线性电阻行为(Dr~T)明显不符。此外,也与该铁磁化合物呈现出来的面内易磁化的情况不符。为了解释这些独特的性质,该团队与美国罗格斯大学的Piers Coleman教授团队合作,指出所对应的守恒动力学可能源自巡游电子与f电子间近藤杂化的相位涨落及其与f电子规范场的耦合,导致这类量子临界点出现小费米面-大费米面的变化。这些表明,实验观测到的格林艾森常数的标度行为可能源自铁磁量子临界点的电荷涨落,而非单纯的自旋涨落。值得指出的是,先前科学家们在YbRh2Si2的反铁磁量子临界点也观察到了与CeRh6Ge4一样的临界标度行为,表明在这类存在近藤坍塌效应的非常规量子临界点附近,其奇异金属行为不依赖自旋涨落的类型,从而进一步支持了电荷涨落的可能性。这些发现为揭示量子相变的普适性以及与之相关的奇异金属行为提供了关键实验证据,也将促使人们重新认识量子临界性。

图3. Ce(Rh0.95Co0.05)6Ge4中发散的格林艾森常数和奇异金属行为
相关成果以“Critical Fluctuations and Conserved Dynamics in a Strange Ferromagnetic Metal” 为题发表于《物理评论快报》(Phys. Rev. Lett.135, 266504)。浙江大学物理学院关联物质中心博士研究生展进和湖北师范大学张勇军教授为论文共同第一作者,浙江大学物理学院关联物质中心袁辉球教授和Michael Smidman长聘副教授,以及美国罗格斯大学凝聚态理论中心的Piers Coleman教授为论文的共同通讯作者。合作者还包括浙江大学物理学院关联物质中心博士研究生张加文、聂智勇、陈宇鑫和焦琳研究员、刘育研究员,美国辛辛那提大学Yashar Komijani副教授,以及德国马普化学物理研究所前所长、浙江大学关联物质中心主任Frank Steglich教授。该研究得到了国家重点研发计划、国家自然科学基金等项目的支持。
文章链接:
Critical Fluctuations and Conserved Dynamics in a Strange Ferromagnetic Metal | Phys. Rev. Lett. https://journals.aps.org/prl/abstract/10.1103/bp6l-46z7

