近年来,奇异点(Exceptional Points, EPs)作为非厄米系统中的一类特殊奇点,因系统本征值在其附近对微小扰动呈现出的非线性响应,被认为是实现高灵敏度探测的重要物理机制。然而,最新研究表明,系统在奇异点处本征态的简并会导致测量的噪声同步被放大,使得基于奇异点设计的传感器在信噪比方面未能实现显著提升,因而限制其实际应用。
针对上述关键问题,浙江大学物理学院混合量子系统研究团队提出并实现了一种基于三阶相干完美吸收奇异点(CPA EP3)的磁场精密测量方案。该方案有效规避了传统奇异点探测器中的噪声发散问题,显著提升了探测信噪比。面对进一步提高信噪比需增加奇异点阶数所带来的实际困难,本研究利用相干完美吸收状态下谱线最小值对微扰的响应特性,提出了一条实现高信噪比探测的新路径。
为验证方案的可行性,研究团队利用微波腔与两个钇铁石榴石(YIG)小球构建了如图1a,b所示的非厄米腔磁振子系统。通过精确调控三个模式的失谐与耦合(图1c,d),在该系统的赝厄米吸收哈密顿量中成功实现了三阶奇异点。值得注意的是,此类奇异点与系统共振奇异点相互独立,使得谱线最小值处的频率展现出三阶奇异点非线性响应特性的同时,避免了因本征矢简并导致的噪声放大,最终实现高信噪比的探测性能(图1e,f)。

图1. 实验装置与基于三阶相干完美吸收奇异点的探测方案
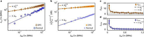
如图2e,g所示,实验结果表明,系统频率在三阶相干完美吸收奇异点附近对微扰表现出显著的非线性响应,其频率随扰动磁场的变化趋势与理论预测高度吻合(图3a),对应的响应系数相比远离奇异点的系统提升了15倍(图3c)。同时还观察到,在三阶相干完美吸收奇异点处,谱线最小值对微扰的响应同样显著增强(图3b),其响应系数较非完美吸收系统提升了近400倍(图3d)。通过分析吸收哈密顿量本征值在复平面上的分布(图2a,b),可借助系统本征值与谱线最小值的频率之间连线长度的乘积,近似得到谱线最小值随微扰的变化关系(图2c,d),从而直观揭示出相干完美吸收系统的显著优势。

图2. 实验结果与谱线最小值的理论计算

图3. 频率与谱线最小值的非线性响应
更为关键的是,基于一百次重复测量的噪声分析结果证实,三阶相干完美吸收奇异点附近的频率噪声与谱线最小值处的噪声均未出现异常增大(图4a, b)。不同微扰强度下的信号分布如图4c,d所示。结果表明,两个探测指标的信噪比分别提升了12倍和70倍,从而实现了测量中高响应率与低噪声之间的有效平衡。

图4. 信号的噪声与信噪比分析
该研究在纯耗散的非厄米系统中,创新性地结合了相干完美吸收与高阶奇异点两类特性,不仅规避了传统奇异点传感器中噪声发散的问题,还首次提出以谱线最小值作为测量标度的探测思路,为设计高信噪比的实用化测量方案提供了普适和可推广的途径。
相关成果以“Enhancement of signal-to-noise ratio at a high-order exceptional point of coherent perfect absorption”为题近日发表在《Nature Communications》上。浙江大学物理学院博士生王梓琦(已毕业,现在香港浸会大学从事博士后研究)、孙一铭、胡耀东为论文共同第一作者,浙江大学物理学院王逸璞研究员和游建强教授为论文的通讯作者。其他作者包括浙江大学物理学院博士生沈瑞昌、吴维江(已毕业,现均在香港中文大学从事博士后研究)。该工作获得国家自然科学基金、国家重点研发计划、浙江省自然科学基金及“尖兵”“领雁”研发计划等支持。
文章信息:Z.-Q. Wang, Y.-M. Sun, Y.-D. Hu et al., Enhancement of signal-to-noise ratio at a high-order exceptional point of coherent perfect absorption, Nat. Commun. (2026).
论文链接:https://www.nature.com/articles/s41467-026-69889-w

