理解高红移超大质量黑洞(Supermassive Black Hole, SMBH)的形成是当前天体物理学中的核心科学问题之一。詹姆斯·韦布空间望远镜(JWST)的最新观测发现,大量红移 z>6 的明亮类星体,其中心黑洞质量已高达数十亿倍太阳质量,意味着这些黑洞在宇宙诞生不到十亿年时便已迅速成长。这一事实对现有的星系形成与黑洞增长模型提出了重大挑战。
近日,浙江大学天文学系吴子泳博士与岑人岳教授联合普林斯顿大学Romain Teyssier教授,利用高分辨率的宇宙学流体力学模拟,揭示了高红移典型晕环境中黑洞增长的全新图景。研究成果以题为《How Fast Could Supermassive Black Holes Grow At the Epoch of Reionization》的论文被国际著名天文学杂志ApJL接收(Wu, Cen & Teyssier 2025, arXiv:2510.16532)。
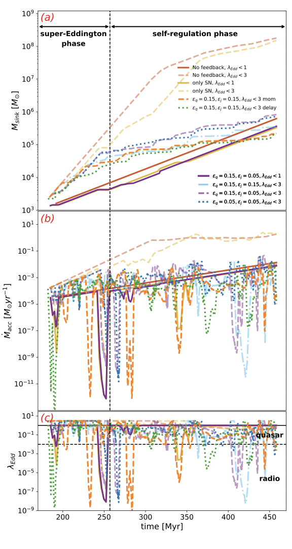
研究团队发现,早期宇宙中的超大质量黑洞成长经历了两个阶段:
在第一阶段,黑洞在质量为 10^9-10^10 Msol 的典型暗物质晕中经历一个短暂的超爱丁顿吸积阶段,吸积速率可超过爱丁顿极限数倍,使其质量在短时间内迅速增长至 10^4-10^5 Msol。然而,这一高效吸积过程会激发强烈的活动星系核(AGN)反馈,加热并驱逐周围冷气体,导致吸积率迅速下降。
随后,黑洞进入第二阶段——自我调节的亚爱丁顿增长期。在此阶段,反馈能量持续抑制气体补给,使黑洞以低于爱丁顿极限的速率增长。令人意外的是,模拟显示,虽然超爱丁顿阶段可带来短期“跃升”,但强反馈会削弱后续气体供应,最终在红移 z∼10 时,持续爱丁顿极限吸积的黑洞反而比早期经历超爱丁顿增长的黑洞质量更大。
这一发现意味着:连续的爱丁顿吸积才是黑洞成长的最快可持续途径。若要解释红移 7–10 观测到的十亿倍太阳质量类星体,必须假设初始种子黑洞的质量已达10⁴–10⁵倍太阳质量,而非由恒星级黑洞经超爱丁顿吸积增长而成。
作者指出,这项研究不仅揭示了早期黑洞生长的自我调节机制,为理解早期宇宙中黑洞与宿主星系的协同演化提供了新的理论基础,也为未来的宇宙学模拟提供了关键约束。同时,如何产生质量高达10^5 Msol 的初始种子黑洞,将成为下一阶段研究的重要方向。
该研究得到了国家重点研发计划、国家自然科学基金、空间科学先导专项以及浙江大学科研基金的支持。相关模拟计算工作在浙江大学“SilkRiver”超级计算平台上完成。

图一: 高分辨zoom-in 数值模拟在$z=10$ 时暗物质投影密度(下图)、气体投影密度(左上图)及气体温度(右上图)图。

图二: 黑洞质量和吸积率随时间的演化,表明早期超大质量黑洞成长经历了两个阶段。

图三: 模拟和观测中黑洞质量随红移的演化,表明连续的爱丁顿吸积才是黑洞成长的最快可持续途径。若要解释红移 7–10 观测到的十亿倍太阳质量类星体,必须假设初始种子黑洞的质量已达10⁴–10⁵倍太阳质量,而非由恒星级黑洞经超爱丁顿吸积增长而成。
